A A A Ц Ц Ц Ц

ШРИФТ:

Arial Times New Roman

ИНТЕРВАЛ:

х1 х1.5 х2

ИЗОБРАЖЕНИЯ:

Черно-белые Цветные

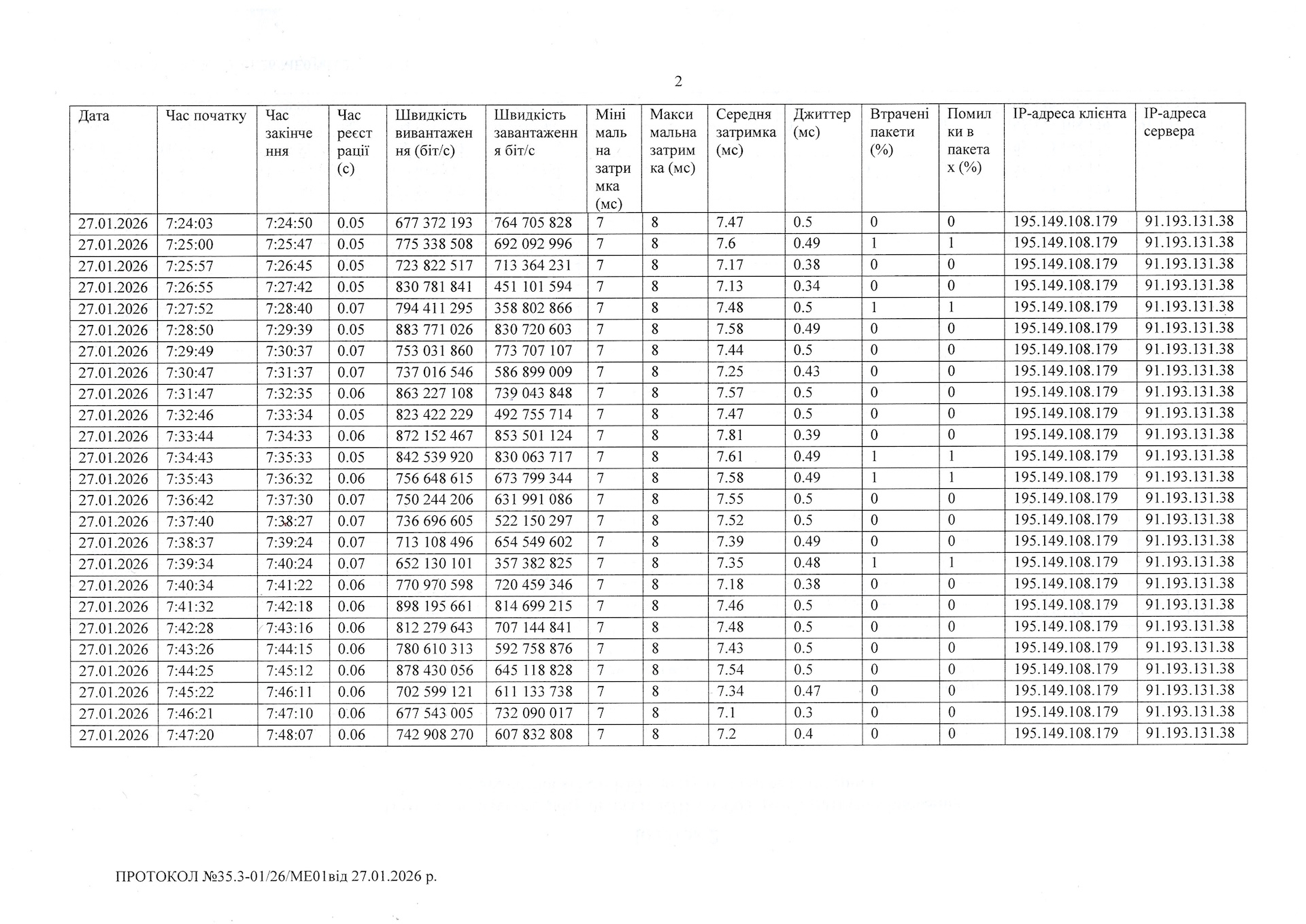
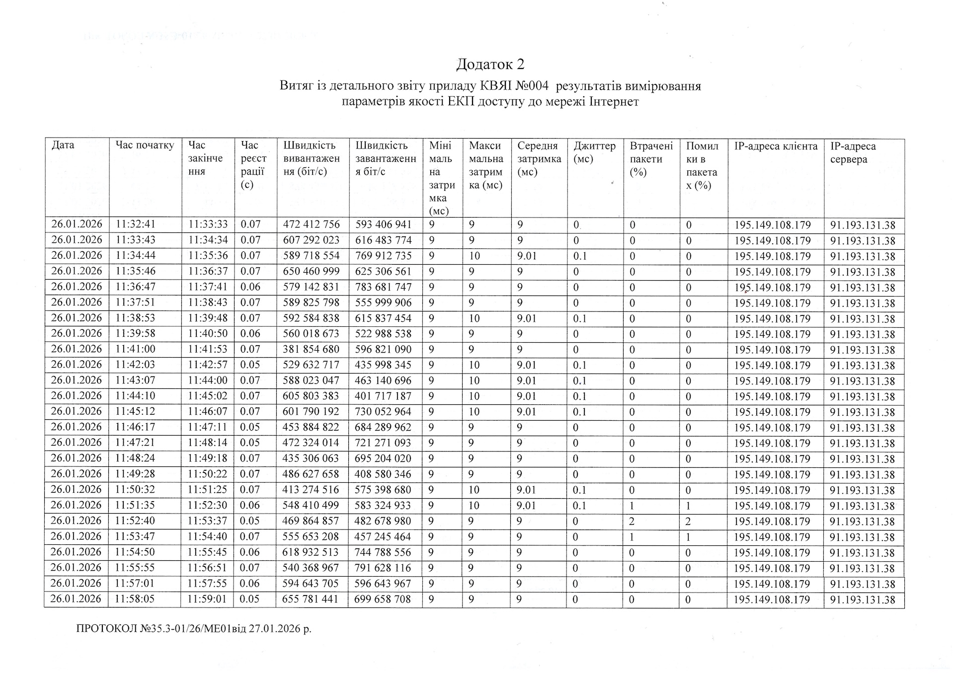
123.jpeg         SCAN0005.JPGSCAN0006.JPG

   SCAN0007.JPGSCAN0008.JPG

Для того, щоб ми могли якісно надати Вам послуги, ми використовуємо cookies, які зберігаються на Вашому компʼютері. Натискаючи ЗГОДЕН, Ви погоджуєтесь на те, що Ви проінформовані про використання cookies на нашому сайті. Відключити cookies Ви можете в налаштуваннях свого браузеру.
ЗГОДЕН